Skočiť na obsah
Sniper
Správa bola pridaná používateľom Sniper
Sniper
Správa bola pridaná používateľom Sniper,

V tejto téme sa venujte diskusii o pandémii. Táraniny o tom, ako máte kvôli Covidu sopel, píšte do témy Ta tak sme my - Corona moja.

Odporúčané príspevky

Zverejnené

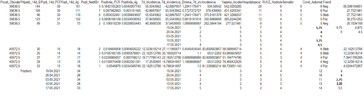
5 okresov Brezno , Nove zamky, Skalica, Topolcany a Nitra. 5 tych lepsi,len brezno sa dostalo do 5.tky opat ku nam a preco. Tam su vlastne dve normalne parametre. Dajme tomu ta vazena 14dnova incidencia a pocet hospitalizovanych na 100 000. Dalsie dva 7dnova zmena je hlupost ako ten co ju vymyslel a subjektivne hodnotenie RUVZ. Brezno sa dostalo k zmene 7 dnovej incidencii asi na 2,75, pritom vo vazenej ma najmenej akokedy malo. Inak o tyzden to bude mat mozno Nitra. Brezno ma aj najmenej pozitivnych za 14 dni kedy malo. Z a posledne tri tyzdne 71 pozitivnych za dva tyzdne o tyzden neskor 62 a teraz 50.

Este ak tu niecom napisem tak k Nitre ona ma dvoch parametroch 0. Pokles pod 0,5 je 0 a maju 0 hospitalizivanych. Maju 4 za 126 vazenu incidenciu,oni sa podla mna tazko dostanu pod 80 - aby boli na 2. Trojka je 80-120. Reginalny urad jej dal 2 - Celkovo moj priemer je jeden a pol. Teda dnes najlepsi okres.  Vo vazenej incidencii maju troch nad 60 Topolcany a Hlohovec. Brezno ,Sala,Senec a Zlate Moravce okolo 90. Ztych cisiel sa da zist len ked budu mat cistu nulu za dva tyzdne. Mozno cez leto.

image.thumb.png.23575bd39657666513646d2b90b9a9cd.png

 

 

Zverejnené

Ja len k tym ZM oni maju pozityvnych za dva tyzdne 34,28,34,28,33. Zmena incidencie 0,45 a 1,1 a 0,88 a1,16 a 1,5.  Vazenu 14 dnovu incidenciu na 100 000 98,83,91,76,88 a hospitalizovanych 9,5,3,5,2 ludi a RUVZ im dal znamky 4,5,3,3,4.

image.png

Zverejnené

Este som sa pozrel na Revucu vraj sme negativni. ..7 zmena ale to lieta a musi a bude za poslednych 5 merani 1,29 a 0,77 a 1,29 a 0,68 a 1,06 - genialny parameter. Vazena  14 dnovaincidencia na 100 000 542,431,421,365,262 - Nieje to Nitra 126 a este su lespie 5 okresov ale co je na tom negativne? Pocet hospotalizovanych za poslednych 5 tyzdnov 26,11,11,12 a 8. Vrevuckej nemocnici su 1 2 a bola aj 0. A znamky od RUVZ 6,4,5,4,5. Jedine dve normalne paramtre su dajme tomu vazena 14 incidencia a ludia hospitalizovani. Jedno aj druhe klesa a sme na zlej ceste. 

Celkovo hospitalizovanych podla ich udajov je 985. Bratislava ma   na 100 000 asi 9, KE 26 a Revuca 20. Ked klesnu o jeden budeme pod dvadsat a o stupen nizsie ,mezi RA a BA su dva stupne 10 -20 na 100 000,BA je pod a RA nad 20. Inak ja tomuto parametru neverim. Myslim si ,ze su to vymyslene,vycucane z prsta cisla. Vobec nekoreluje incidenciou s hospitalizovanymi ani ludmi v nemocniciach. NT,Zarnovica maju 0 hospitalizovanch. Nevravim,ze u nich to nekoreluje, najhorsie okresy maju 60 hospitalizovanych na 100 000. Sever.

https://github.com/Institut-Zdravotnych-Analyz/covid19-data/blob/main/OpenData_Slovakia_CovidAutomat.xlsx

Udaje su odtialto.

Este nosite ruska?

Pozrel som sa na Myjavu.

17.5.2021MyjavaTrenčín26356obyvatelov71 PCR pozitivnych za posledny 14 dni 22 pozitivnych na Ag testoch za 14 dni 10 pozitivnych za 14 dni nad 65 rokov 0 ,148594 0,004237 151,7681  117,6203 1,290323 7 dnovy rast, 474,2753 588,1014 14 dnova vazena incidencia na 100 000 ,10 hospitalizovanych, 6 znamka od RUVZ ,6 6 Poz 37,94202 hospitalizovanych na 100 000.

No v podstate su najhorsi ale pri takych cislach na polke slovenska a mali horsie cisla(ked este Revucke deti nemohli,moje deti chodia len dva tyzdne do skoly) chodili deti do skoly.  To som pisal o 45 horsich okresoch, kde mohli. V  Revucej nie.

Vtedy (bolo to 26.04.2021)vo vsetkych 3 parametroch okrem hodnotenia RUVZ boli oproti Revucej horsi Bardejov,V nToplou(ich deti mohli ist do skoly) - dnes maju take iste parametre ako Myjava,ale zas aj Hlohovec co dnes  patri medzi najlepsich. Posudzuju sa tie zlte a ten zeleny je vysledok.

Najviac hospi. na 100 000 K.nove mesto 54,Ilava 42,myjava 37,Ruzomberok 54,Sobrance 48 a Trencin 37. Ostatne maju kolo 30 ci menej.

 

image.thumb.png.e4cc5fe220f8dcc1290e8b9f34da1935.png

 

Zverejnené

yep, Save the Planet, Kill Yourself :biggrin: ty si tiez mizantrop a antinatalista ,(?) v tom prip ta vitam v klube :-)

Zverejnené
Dňa 14. 5. 2021 at 19:58, robopol napísal:

Ja myslím, že ten najväčší vírus pre túto planétu je samotné ľudstvo, niečo z dielne slávneho prírodovedca:

dovolím si poznamenať, že to tu miestami píšem takých 15 rokov... a myslím si to o pol života dlhšie :)

Zverejnené

Má význam ísť na PCR alebo AG test 10 dní po nakazení sa? Či pozitivitu ukáže tak či tak, len s tým že ten bazmek je už neaktívny?

Zverejnené

Co je cielom ?  Ak vies ze si mal covid, tak to je ciste pre byrokraciu,  aby si dostal potvrdenie o prekonani.  Ag test ak nemas priznaky nic neukaze, PCR test by mal.   A ak si nemal jasne priznaky, tak len zaplatit PCR. 

Zverejnené

Liek na covid.

"Zazracne" lieky proti covidu tu uz boli diskutovane: viacerym napadom sa dostalo ovela viacej pozornosti od verejnosti, nez si zasluzili. Ako to ale vyzera s vyvojom ozajsneho lieku na covid, ktory by znamenal este pohodlnejsie ukoncenie problemu s pandemiou, nez aky ponuka vakcinacia?

Az teraz som objavil stvrt roka staru relaciu Pod Lampou kde o tom zaujimavo rozpravaju (aj ked pravdivo, tazke pre niektorych nudne) : https://www.tyzden.sk/podlampou/71311/pod-lampou-o-revolucnom-objave-rodi-sa-skutocny-liek-proti-covidu/

Klucove je sa pozriet na proteiny covidu, z ich struktury sa da nasledne uz dost dobre odhadnut, aka latka by mohla blokovat ich funkcnost. Nefunguje to tak, ako nam to ukazuju v akcnych filmoch: ze sa nieco strci do zazracneho pristroja a v momente vybehne 3D priestorova struktura molekuly. V realite "pozretie" trva dlhe mesiace vysoko vedeckej cinnosti a su k tomu potrebne spickove zariadenia (urychlovace, laser) aby sa vobec ziskal difrakcny obraz, z ktoreho sa spatne vypocitava jeho priestorova struktura.

Pozerat sa na atomy nie je lahke.

Dobra sprava je, ze aj ked vyvoj lieku trva z principu dlhsie, ako vyvoj vakciny, jeho vyvinutie je realne a mohlo by v buducnosti psravit z covidu bezne ochorenie, proti ktoremu mame ucinny liek.

 

Zverejnené

Dnes zas vesti Kollar na sme pre jesen. Všetko je možne, ale tretie vlna by mala byt menšia. Niekedy mam pocit, že niekto tu berie peniaze za to, že nam zopakuje všetky scenaria a potom prehlasi, že tretia bude menšia, lebo sa očkuje. Ono to by dokázal aj taky smiley, či informator vygenerovat takuto predpoved. Aspon nech sa raz trafia...

Zverejnené

Kolar netvrdi ani to, ze tretia vlna bude mensia. Tvrdi iba, ze ocakava, ze by mala byt mensia, pokial sa neprevali nejaka infekcnejsia mutacia. Nerozumiem, co ti na tom vadi. Ked nieco nevieme s urcitostou predpovedat,ako napriklad klimaticke zmeny alebo vyvoj pandemie, tak si to treba priznat. Nie je to prijemne, ale zotrvanie v omyle moze v konecnom dosledku zaboliet viac.

Richard Kolar je zamestnany a plateny na MatFyz-e, neviem odkial si prisiel na to, ze za svoje predpovede berie peniaze.

Zverejnené

https://www.tyzden.sk/podlampou/73385/pod-lampou-o-roku-pandemie-co-sme-sa-naucili-kde-sme-zlyhali-a-co-teraz-urobime/?ref=tit

Ved sme na Slovensku. Ag testovanie - ten Matovic vie co tu ziju za ludi. Ma nas precitanych. 3,6 miliona na AG teste. Znizi to 58%  pozitivnych.  V Nitre to zafungovalo.

Keby to tak bolo muselo by to fungovat vsade. V Revucej 6-7 tyzdnov vkuse cez 600 pozitivnych na PCR a AG za tyzden. Celkovo 6 000 bolo pozitivnych z 20 000 co sa dalo testovat. Z celkoveho poctu 39 500. Teda asi vsetci boli v kontakte s koronou.

Som ich aj scital PCR pozitivni od 12.12.2020 boli 1 874 a na Ag testoch boli pozitivni 4 162 z  275 257 testovanych. Testujes ako Matovic, co zachranilo u nas 2500 0 00milionom ludom zivot. Realne s covidom boli vsetci v kontakte. Zrejme nie naraz. 

 

Panu Jarcuskovi, Matovicovi, Mikasovi ,tomu profesorovi co uz chcel davno odist do dochodku a Marekovi dakujem. Nikdy viac.

Bratislava 21 717 PCR pozitivnych a 26 070 Ag pozitivnych z 3, 322 miliona testovanych. Bratislava mala 12 krat tolko Ag testovanych ako RA,lebo ma 12 krat viac obyvatelov. Preco ma menej pozitivnych? 6000 ku 4000 ked vydelim 12? Lebo sa tam trasovalo lepsie a testovalo PCR testami mozno 10 krat viac? Aj ked v Revucej by to aj tak mozno nebolo tak efektivne, mozno.  Celkove hodnotenie sa ukaze, v statistikach umrtnosti. Ci aj ine by boli dolezite.

Nitra od 12.12. do dnes mala 8909 PCR pozitivnych a 8 996 na Ag testoch. Cadca 3 688 + 6 515. Trencin 8124 + 8491. Vranov 4610 + 4085. Bardejov 3233 + 3442.

Dufam,nie nedufam ani neverim. Ze sa z toho poucime. 

Sranda - tu pretestuju 40 milionov ludi a oni nevedia co vlastne testuju. A co to maju za vysledky. Ci to pomohlo ci nie.

 

Zverejnené

Celkom zaujímavý článok o epidémiách v staroveku, keď ľudia nevedeli ako sa voči vírusom a baktériám brániť, keďže ani nevedeli čo to je. A my tu preklíname Matoviča za 12000 mŕtvych. Odporúčam prečítať.

Zverejnené

image.thumb.png.35f0b0385429f398080cfd5eea1872d4.png

Teraz to pozeram vrchna tabulka jedna sa o okresy Revuca a Zlate Moravce co patria pod RUVZ RImavska Sobota a Nitra.


Tak zlepsuje sa to. Aj ked v hospitalizovanych je to to iste ako pred tyzdnom - v hospitalizovanych. Moravce maju pozitivnych zmenu z 33 na 12 A zmena icidencie 1. 

image.thumb.png.6f51809fff8cc2711bc2222657933938.png

Hlohovec ma rast 4x(Brezno malo minuly tyzden 2,3) - zrejme minuly tyzden mali 1 PCR pozitivneho. Celkovo maju 4 a jedneho  pozitivneho na Ag test.

image.thumb.png.0902d5597cd91009bcb06fe076a91872.png

Teraz ma rast 0,45. Vtej tabulke bodovania bola 1 pre rast 0,5-0,7 - pre hodnotu 0,45 som daval 0. Ale v inych parametroch bolo menej ako 50,ale ak mal niekto nulu neviem ci som mu mal dat 1,ci 0.




 

Zverejnené

Pri súčasnom tempe koncom leta už to môžeme mať pod kontrolou. Otázne ale je, čo prinesie jeseň a čo prinesie, to môže spôsobiť aj ďalší lockdown. Bude dôležité aký podiel zaočkovaných budeme mať; u tých, ktorí sa zaočkovali medzi prvými (Krčméry, Cibulková) bude možno potrebná ďalšia dávka; a uvidíme čo spôsobí letná mobilita, lebo už teraz tu máme kopu expertov z radov našej postihnutej opozície, ktorá si myslí, že máme po pandémii a bude sa ebať na dovolenku do každej riti. Plus do toho sa ukazuje, že skutočne účinné sú len vakcíny od Pfizeru a Moderny, kde očkujú patokmi z Číny, Ruska, či Astrou, tam majú stále dosť nakazených.

Zverejnené

Ale ajtak je ten covid automat trapný lebo že oranžové okresy môžu mať viac ako tie červené a napríklad obec Pata je okres GA ale hned vedlajšia dedina už je NR, pričom to je od seba tak ďaleko že tam prejdeš aj peši a môžeš si sadnúť aj vo vnútri. To aký má potom zmysel na okresy? Veď človek čo je v dedine na hranici okresu, prejde do vedlajšej a môže sa baviť v interiéri. Že tu si nesmieš sadnúť dnu ale o pár km ďalej už môžeš. Rovnaká hovadina ako keď nejakých 10 zamestnancov miestneho úradu čo sú všetci z daného mesta pošlú na home office lebo pandémia a fabrika kam dochádza 3000 ľudí zo všetkých možných okresov si môže kľudne fungovať ďalej ako keby ani nebol covid.

Celé opatrenia sú trápne, ako celá naša vláda.

Zverejnené

A ty čo tu pindáš, ty keď si bol ešte zamestnaný, tak si si nevedel vynachváliť ako ti koronakríza pomohla, teraz si bez roboty, nemôžeš si nájsť novú, tak si už otváraš fekál? Ty trapko.

Zverejnené

Zvlastne je aj to ze okres nemoze byt o dva stupne lepsi.  Pritom medzi tymi okresmi nemusi byt ani cesta. Teda ako Tomas pise, su okresy,kde napivo do susedneho si prides za 5 minut,ale su okresy - trebars Revuca Brezno. Kde mas aj 30 km hranicu,len cez nu ide len jedna cesta ktora je znicena a nepristupna(susediace obce maju od seba asi 10 km cez kopec asi ani jedna nema krcmu.. V zime zatvorena - cez nu nik neprejde ak nema povolenie. Susediace okresy - myslim na zahory sa dve dotykaju do dvoch kilometrov. 

Zverejnené

Organizacia zastavme korupciu vyrukovala s tvrdenim, ze mobilne testovacie stanice (MOM) beru prilis vela penazi. https://zastavmekorupciu.sk/kauzy/plosne-testovanie-atomova-zbran-alebo-biznis-za-stamiliony-bez-riadnej-kontroly/

Ich efektivitu pocitaju v mnozstve zaplatenych penazi na odhalenie jedneho pozitivneho (az 75 000 Eur).

Len mne pride taketo prepocitavanie chore? Negativny vysledok testu je predsa tiez hodnotu. Ked uz chcu hodnotit efektivnost, mozu porovnavat naklady testovania napriklad so stratami sposobenych lockdownom.

 

Zverejnené
pred hodinou, smiley napísal:

Organizacia zastavme korupciu vyrukovala s tvrdenim, ze mobilne testovacie stanice (MOM) beru prilis vela penazi. https://zastavmekorupciu.sk/kauzy/plosne-testovanie-atomova-zbran-alebo-biznis-za-stamiliony-bez-riadnej-kontroly/

Ich efektivitu pocitaju v mnozstve zaplatenych penazi na odhalenie jedneho pozitivneho (az 75 000 Eur).

Len mne pride taketo prepocitavanie chore? Negativny vysledok testu je predsa tiez hodnotu. Ked uz chcu hodnotit efektivnost, mozu porovnavat naklady testovania napriklad so stratami sposobenych lockdownom.

 

Lockdawn uz ani nemas. CHalani maju natrenovane, asi aj ine kluby.  Preco medzi sebou nemozu hrat? Lebo by potrebovali testy.  Teda kym nezrusia testy ziaci dorast medzi sebou hrat nebude. Teda aby som vysvetlil smileymu- straty sposobene  - nutenim testovania(nemoznosti si zahrat futbal) su tak vysoke -ze som za pad tejto vlady.  Vynalozit pol miliardy na blbe AG testy a vynucovat to este dnes - to je na psychiatra, prokuratora a na pad vlady. A nove volby.

Dnesne teatro parlamentu - do kedy ich budete tolerovat? Pcolinsky sa ma dostavit,ktory je pod dvomi vazbami do parlamentu 68 debilou za to hlasovalo a mi ich nemozme v referende odvolat? Teda parlament si urobil prdel so sudcov ,prokuratori a policajtov. Kto do toho vysetrovania zasahuje? Aj SIS?

Tento parlament sa neda zrusit? To je smutne a to je problem.

Zverejnené

Neviete, kde sa daju ziskat nejake rozumne informacie k cestovatelskemu semaforu, ktory ma zacat platit od pondelka? Na SME je clanok plateny (lebo poskytuju vsetky informacie o covidu zadarmo).

Zaujimali by ma napriklad podmienky pre:

  • zelenu krajinu (Cesko) - staci si v Cesku spravit PCR test? Ako je to zo zaockovanymi a polozaockovanymi (jedna davka)?
  • cervenu krajinu (USA) pre plne preockovaneho cloveka.

 

Zverejnené
Citát

https://hnonline.sk/svet/2350736-americke-tajne-sluzby-otvorili-teoriu-o-uniku-virusu-z-laboratoria-v-hre-zostali-dva-scenare

Americké tajné služby otvorili teóriu o úniku vírusu z laboratória. V hre zostali dva scenáre

Pochybnosti sa vynorili po nedávnom zistení, že traja vedci z wu-chanského virologického inštitútu ochoreli na covid-19 v novembri 2019, mesiac pred oznámením prvého oficiálneho prípadu.

Aká sranda, ešte pred nedávnom ten kto tvrdil že "korona je z laboratória" bol automaticky obvinený, že šíri konšpiračné teórie. 

Vytvorte si účet alebo sa prihláste, aby ste mohli písať príspevky

Ak chcete odoslať príspevok, musíte byť členom

Vytvoriť konto

Zaregistrujte si nový účet v našej komunite. Je to ľahké!

Zaregistrovať si nové konto

Prihlásiť sa

Máte už konto? Prihláste sa tu.

Prihlásiť sa teraz
×
×
  • Vytvoriť nové...

Dôležitá informácia

Táto stránka používa súbory cookies, pre zlepšenie používania stránok tohto webu. Pre viac informácií kliknite sem. Ďalšie informácie nájdete na stránke Zásady ochrany osobných údajov