robopol Zverejnené 1. Október, 2013 Zverejnené 1. Október, 2013 dobre, Ale zober si teraz tri druzice, tretia druzice bude plne inercialna a bude sa krutit v smere rotacie zeme "bude nahradzovat povrch zeme". Dalsie dve sa budu krutit rovnakou obvodovou rychlostou voci tej druzici co nahradza povrch zeme. teraz z pohladu tej druzice co nahradza ten povrch planety su obe druzice jedna ide protismere, druha v smere hodinovych ruciciek. Takze podla tohto pohladu je to PLNE SYMETRICKA ULOHA A VEDIE TO NA ROVNAKY VYSLEDOK PRE OBE DRUZICE. Ale z pohladu stredu zeme nie. Jak toto chces domyselne obist cez tvarenia sa ze rovnice su v kazdej sustave rovnocenne. Ako tam presunies tu nesymetriu, do plne symetrickeho zadania?
Tono Zverejnené 1. Október, 2013 Autor Zverejnené 1. Október, 2013 Robopol Nesnažím sa niečo obísť, ani som nepočítal, aký to dá výsledok, teda či sa to naozaj kompenzuje. Geostacionárna družica, ktorá sleduje povrch Zeme nemá rovnaký čas so Zemou, ale rovnaký ako zvyšné dve družice. Zo sústavy Zeme má každá družica iný čas. Navyše, ak Zem rotuje, tak aj priestor okolo nej nie symetrický, dochádza k strhávaniu súradníc. Pohyb v smere a proti smeru rotácie nie je totožný. Netuším, či to má nejaký podstatný vplyv.
robopol Zverejnené 1. Október, 2013 Zverejnené 1. Október, 2013 predpokladajme ze sa kompenzuje, musim byt na taku moznost predsa prirpraveny:) Ale kludne staci ze pojdne jedna druzica v smere hodinovych ruciciek polovicnou obvodovou rychlostou ako ta v protismere, teda ze voci stredu tazisku nebudu mat rovnaku hodnotu rychlosti, co znova z pohladu dvoch druzic jedna na druhu je nerozlisitelne. To rozlisujes iba z taziska zeme.teda chcem tym povedat ze pokial by to aj dalo rovnake vysledky z roznych sustav tak sa tam prepasuje prave ten centricka sustava. ta privilegovana sustava, ktora donesie do tych symetrickych sustav nesymetriu. V podstate by sa potom dalo povedat z pohladu jednej ddruzice na druhu akou rychlostou sa pohybujes vzhladom k tazisku zeme. Co sa obecne neda len z relativnosti pohybu zistit jednej druzice na druhu.
Tono Zverejnené 1. Október, 2013 Autor Zverejnené 1. Október, 2013 Robopol Relativita nehovorí, že z rôznych sústav vidím to isté, ale fyzikálne deje prebiehajú rovnako. Pre mňa je skôr problém v tom, že musí byť zachovaný počet udalostí, napríklad tikov hodín. Ten príklad z obručou a obiehajúcou guľôčkou relativisticky. Z ťažiska je obvod obruče L0=2.Pi.R a doba obehu T0. Pre guľôčku L=L0.sqrt(1-v^2/c^2) a T=T0/ sqrt(1-v^2/c^2). Frekvencia je 1/T nerovná sa 1/T0. Počet obehov ale musí byť rovnaký. Ako to dáš do súladu po nejakom dlhom čase?
robopol Zverejnené 1. Október, 2013 Zverejnené 1. Október, 2013 Este k tym druziciam, napadlo ma ze v rovnakej vyske zas nemozu mat druzice lubovolne rychlosti obvodove, zas by to nebol volny pad. Takze tam bol hacik. No a ty robis chybu v tej "1" 1/T0 a 1/T nemozu byt rovnake lebo si zabudol že treba 1*gama, jeden ma mensi obvod kruhu, ma aj teda inu sekundu dlhu.
Tono Zverejnené 1. Október, 2013 Autor Zverejnené 1. Október, 2013 Robopol Rovnice mám asi v poriadku. Obvod L podlieha kontrakcii a perióda T dilatácii. To tam mám. Ja neočakávam, že periódy sú rovnaké, to by som popieral STR. Predstav si, že v sústave guľôčky je detektor obehov. Rovnaký detektor je v ťažisku. Necháme obiehať guľôčku (ak to potrvá dosť dlho, nemusí byť tá rýchlosť vysoká) . Potom zastavme guľôčku. Otáčka je udalosť a tie by mali v oboch sústavách prebehnúť, aj keď v inom čase. Aký stav bude na detektoroch otáčok? Budú počty rovnaké?
robopol Zverejnené 1. Október, 2013 Zverejnené 1. Október, 2013 No budu, ked ich prenasobis tou gamou ako som ti pisal. Ak to chces porovnavat tak musis mat rovnaku zakladnu, ked cas plynie inak v sustavach potrebujes tu gamu. Vztahy mas v poriadku az na to ze ta 1sec v jednej sustave nie to iste v druhej sustave 1 sec. Za 1 sec v jednej sustave sa stane ze obehne mensiu vzdialenost ako v druhej.
Tono Zverejnené 1. Október, 2013 Autor Zverejnené 1. Október, 2013 Robopol Dobre, potom ale nechápem, experiment s dojičkami. Rovnaká udalosť je úder srdca. Ak to prenásobím tou gamou tak budú mať rovnaký počet úderov srdca, ale tá perióda bude u jedného dlhšia ako u druhého. Čo potom určuje rozdiel ich biologického veku pri stretnutí?
robopol Zverejnené 1. Október, 2013 Zverejnené 1. Október, 2013 Vsak potom nemozes mat rovnaky pocet uderov, ked druha sustava je "spomalena". Ved ty hovoris ze musia byt frekvencie rovnake. Ja len hovorim ze budu ked to prenasobis gamou. Teda ked zrycchlis toho spomaleneho na svoje tempo. Lebo on nevie ze je spomaleny, to je iba relativny ukazovatel. Jemu ide vsetko pomalsie, ale pritom on nevnima svoje spomalenie.
Tono Zverejnené 2. Október, 2013 Autor Zverejnené 2. Október, 2013 Robopol Samozrejme, že to s gamou vychádza. Je to skôr naopak. Gamu dostaneš, ak spojíš dva body časopriestoru, teda dve udalosti. Pozorovateľ z každej sústavy musí vidieť to isté. Že došlo k prechodu z jedného bodu do druhého. Tieto body spája svetočiara, ktorej dĺžka je invariant v každej sústave. To je definícia, alebo postulát z ktorého matematicky dostaneš gamu. Čas tu predstavuje podiel t = L/v . S takto definovaným časom nemám nijaký problém. No ak trajektória L nesúvisí s trajektóriou pohybu, napríklad sa uzavrie v danej sústave, tak je to iné. To je napríklad tik srdca, alebo obeh elektrónu okolo jadra. Tam už počet udalostí v tejto sústave nemôže zodpovedať počtu udalostí v inej sústave. O to mi išlo. Je to ako povraz, ktorého konce sa v jednej sústave uzavrú a v druhej nie.
robopol Zverejnené 2. Október, 2013 Zverejnené 2. Október, 2013 Dobre, ty beries striktme matematicku definiciu. Uplne prosta je ta, ze ked pozeras na sustavu, kde cas plynie pomalsie, taj aj tlkot srdca je pomalsi, ziadne udalosti sa nestracaju len maju ine casy na hodinach, teda ked tebe udrie 70 krat srdce za minutu pre kazdeho pozorovatela je ich 70. Len jeden ich vidi ze ubehli rychlejsie, iny zes ze pomalsie. Ved to je jednoducha predstava. Hlavne ze tam nevidis spor:-)
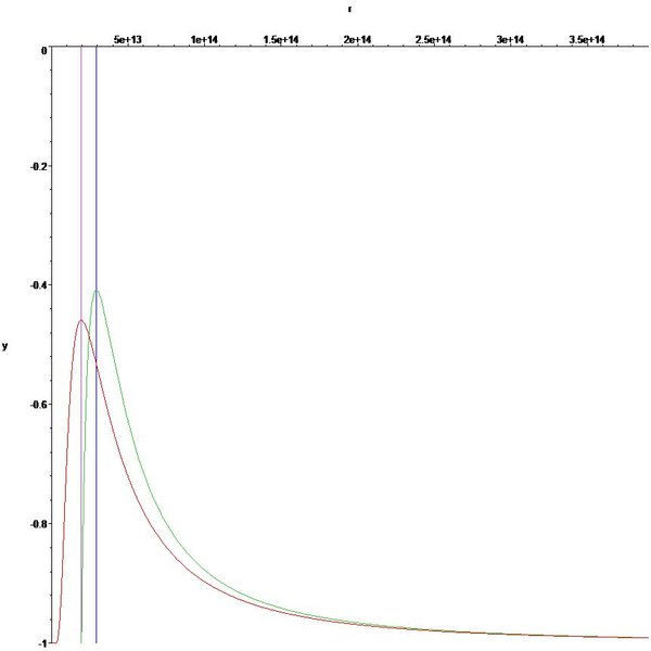
Tono Zverejnené 6. Október, 2013 Autor Zverejnené 6. Október, 2013 Robopol Predstav si, že v družiciach máme rotujúce guľôčky, ako časový normál. V oboch družiciach rotujú rovnakou rýchlosťou. Obeh guľôčky je udalosť a počet udalostí musí byť rovnaký. Pokúsil som sa to spočítať a nakresliť. Pozorovateľ v modrej družici vidí rotovať svoju guľôčku normálne po kruhovej dráhe. Guľôčku v červenej družici vidí rotovať po eliptickej dráhe. V každom čase však vidí rovnaký počet otáčok v oboch družiciach. Teda hodiny na oboch družiciach by mali ísť rovnako. Samozrejme, ak som to vypočítal správne. Rýchlosť rotácie družíc okolo stredu súradníc je 1/4c a rýchlosť rotácie guľôčiek okolo svojho ťažiska je 3/4c.
dokopy Zverejnené 27. Február, 2014 Zverejnené 27. Február, 2014 Zdravím. Vedel by niekto vysvetliť laikovi, prečo sa čierna diera prejavuje gravitačne a elektromagneticky nie? Hypotetický gravitón by mal vraj mať nulovú hmotnosť ako fotón a rýchlosť tiež ako fotón.A ešte jedna otázka. Bola krátko po veľkom tresku hustota vesmíru taká veľká, že mohla ovplyvňovať čas? Alebo inak povedané, bola minúta po veľkom tresku rovnako dlhá, ako súčasná minúta?
tyso Zverejnené 3. Marec, 2014 Zverejnené 3. Marec, 2014 CIerna diera sa moze prejavovat aj elektromagneticky, A ano tesne po velkom tresku bola intenzita gravitacie taka ze cas siel pomalsie
dokopy Zverejnené 4. Marec, 2014 Zverejnené 4. Marec, 2014 CIerna diera sa moze prejavovat aj elektromagneticky, A ano tesne po velkom tresku bola intenzita gravitacie taka ze cas siel pomalsieAko už niekto písal, máš na mysli statické elektrické pole a statické magnetické pole, nie elektromagnetické vlny. Čas sa meria podľa atómových minút, ktoré sú odvodené z počtu kmitov vybudených stavov atómov. To by nemalo byť ovplyvnené vonkajšou hustotou.
tyso Zverejnené 4. Marec, 2014 Zverejnené 4. Marec, 2014 staci aby sa sa hybal voci CD a mas aj magnetizmus. Ale ok, chapem co chces povedat.A cas je ovplyvneny intenzitou gravitacneho pola a ta je zavisla od hustoty, Pozri si schwarzschildove riesenie
dokopy Zverejnené 4. Marec, 2014 Zverejnené 4. Marec, 2014 V tomto prípade mi ide konkrétne o atómové hodiny. Kde nájdem, že sú ovplyvňované vonkajšou hustotou?
sahara Zverejnené 17. Marec, 2014 Zverejnené 17. Marec, 2014 tak ich vraj konečne našli (gravitačné vlny) - http://astronomy.com/news/2014/03/first-direct-evidence-of-cosmic-inflation
Tono Zverejnené 17. Marec, 2014 Autor Zverejnené 17. Marec, 2014 sahara Znova nepriamy dôkaz, ako pri pulzare PSR B1913+16 Pre mňa by bol úspech, keby niekto dokázal zmerať rýchlosť gravitačných účinkov dvoch telies. Mala by to byť rýchlosť c.
riki1 Zverejnené 28. Jún, 2015 Zverejnené 28. Jún, 2015 tono, preco ? ak sa zem dostane do lubovolneho bodu, tak uz tam nejaky potencial od slnka je, Ten sa nesiri, ten tam je. A kedze sa nesiri, tak posobi ako keby okamzite. Musis sa hybat zrychlene aby si opustil inercialny ramec.Gravitacne vlny su obdobou svetla, ale tie pri pohybe zeme okolo slnka nevznikaju. A len tak bokom, k retardovanym potencialom potrebujes aj advancovane, inak to bude v rozpore s maxwelom.A zrejme to dokazes vytvorit aj pre klasicku gravitaciu, kedze to je obdoba elektrostatikyTo, ze gravitacny potencial tam uz je , by bola pravda vtedy, ak by sa mohli dve telesa volne v priestore pohybovat tak, ze by jedno bolo stale v tom istom bode a to druhe by okolo neho obiehalo. To ale nie je mozne. Tie dva telesa totiz musia obiehat okolo spolocneho taziska. Kedze Slnko je podstatne hmotnejsie ako Zem, nachadza sa toto tazisko vo vnutri Slnka, ale urcite nie v jeho tazisku, strede. Takze posobenie gravitacie je opozdene. Takze to, ze tam uz nejaky gravitacny potencial je , je sice pravda, ale nie je to ten, ktory by tam bol, keby sa gravitacia sirila okamzite.
Tono Zverejnené 19. Júl, 2016 Autor Zverejnené 19. Júl, 2016 Toto vlákno je už dávno neaktuálne. Každý, koho to zaujíma vie, že gravitačné vlny a ich rýchlosť, sa podarilo experimentálne zmerať http://www.osel.cz/8686-byly-uz-konecne-primo-pozorovany-gravitacni-vlny.html. Zdrojom vĺn bol kolaps binárnej sústavy čiernych dier. Píšem to preto, že si asi málo kto všimol, koľko energie sa pri kolapse premenilo na gravitačné vlny. Skúsil som si to prepočítať a vyšla mi úctyhodná energia. Pre predstavu, v článku sa uvádza kolaps čiernych dier s hmotnosťou 14,2 a 7,5 hmotnosti Slnka. Ak by došlo ku kolapsu čiernych dier s hmotnosťou 14,2kg a 7,5kg (samozrejme také nemôžu asi existovať, len pre predstavu), energia gravitačných vĺn pri ich kolapse by bola ekvivalentná 1,5 ročnej energii vyrobenej v elektrárni v Mochovciach.
Tono Zverejnené 31. Január, 2019 Autor Zverejnené 31. Január, 2019 robopol V podstate sa zhodneme. Ja som predpokladal, že v priestore existujú virtuálne stavy, ktoré môžu byť obsadené energiou. Predpokladám, že je to čistá forma energie kmitania a ty tam predpokladáš nejakú hmotnú časticu. Pravdepodobnosť obsadenia som odvodil a vzťah sa dá s veľkou mierou volatility použiť bez ohľadu na to, čo si pod pojmom obsadenia hladiny predstavujeme. Sú dve varianty riešenia pravdepodobnosti, ktoré závisia od toho, či považujeme pravdepodobnosť obsadenia hladín vákua P=1, alebo P=0. Aby si tomu rozumel, trocha sa vrátim k matematike vo fyzike. Pravdepodobnosť určite chápeš v rozmedzí 0 až 1. To je matematická definícia. Vo fyzike je výhodnejšie normovať pravdepodobnosť inak. Napríklad, do vreca sa vojde 100 zemiakov. Keď budeme do prázdneho vreca hádzať 100 zemiakov, s nejakou pravdepodobnosťou ich tam dopadne napríklad 40. Vo fyzike je vhodnejšie normovať pravdepodobnosť na 100 zemiakov, čo je ekvivalent pravdepodobnosti 1. Výhodou takéhoto normovania je, že daný jav má fyzikálny rozmer, ktorý zodpovedá experimentálnej realite. Z matematického hľadiska, zmenou normovania pravdepodobnosti sa nič nezmení a platí všetko o zákonoch pravdepodobnosti aj naďalej. Pravdepodobnosť obsadenia potenciálnych energetických stavov určuje distribučná funkcia potenciálu. A pravdepodobnosť obsadenia všetkých potenciálnych energetických stavov musí byť fyzikálne normovaná na hodnotu -c^2, čo je v matematike ekvivalent hodnoty pravdepodobnosti rovnej 1.
robopol Zverejnené 31. Január, 2019 Zverejnené 31. Január, 2019 Ja som v podste len zbezne pozrel tvoje odvodenia (v minulosti), pretoze z toho ja viem akurat usudit, ze sa snazis zbavit singularity tym ze tam vopchas do rovnic nieco z kvantovej mechaniky stojatych vln, ci ziarenia absolutne cierneho telesa, statistiku pouzijes pri obsadzovani stavov, no nie je zrejme co to ma byt? ty si nestaval novu teoriu iba si ju modifikoval v podstate. Ja tam robim trocha nieco ine nehram sa so vzathmi ale ukazujem k comu vedu ake vlastnosti, teda mam silny pocit ze to ide odvodit az k tomu ze dostaneme nieco ako gravitacny zakon, co ty ale nerobis, ty to uz pouzijes ako hotovu vec . No ale podstatne je ine ci si porozumel tej myslienke co tam pisem?
Tono Zverejnené 31. Január, 2019 Autor Zverejnené 31. Január, 2019 No ale v čom je rozdiel tvojho pohľadu. Ty v https://robopol.blogspot.com/2019/01/gravity-part1-gravitacia-1-diel.html predpokladáš, že časticu môžeme lokalizovať v nejakom diskrétnom bode časopriestoru, alebo v inom, bez toho, aby sme predpokladali jej transfer. A ja som odvodil pravdepodobnosť, s akou je daný energetický stav obsadený .
robopol Zverejnené 31. Január, 2019 Zverejnené 31. Január, 2019 No ja neviem pre mna je to moc nezrozumitelne, pretoze ty tam mas len odvodenie ja neviem odkial sa vesetky tie predpoklady beru v tvojom dovodeni, teda to by som si musel poriadne nastudovat vsetko potrebne k tym vztahom odkial sa to berie, ved mozno to je to iste len inak. lenze ja nevidim ze z toho dostane gravitacny zakon v tvojom materiale. Proste podla mna tam trebe troska viac objasnit co vlastne robis. Ako konkretne sa z obsadzovania hladin dostaneme ku gravitacnemu zakonu?
Odporúčané príspevky
Vytvorte si účet alebo sa prihláste, aby ste mohli písať príspevky
Ak chcete odoslať príspevok, musíte byť členom
Vytvoriť konto
Zaregistrujte si nový účet v našej komunite. Je to ľahké!
Zaregistrovať si nové kontoPrihlásiť sa
Máte už konto? Prihláste sa tu.
Prihlásiť sa teraz